光探测器作为将光信号转换为电信号的核心器件,在信息通信、环境监测、空间探测等领域具有广泛应用。随着实时通信、高精度探测及深紫外信息传输的快速发展,研制具有超快响应速度、高响应度、高探测率以及短响应波长的光探测器成为当前该领域的迫切需求。然而,在传统光电探测器中,这四个参数往往难以同时达到最优。
内建电场是影响光生载流子分离效率的关键因素之一。在传统的pn结和肖特基二极管光电探测器中,必须构建异质界面来产生内建电场,这一方面增加了器件的复杂性,另一方面异质界面处容易产生位错、空位和杂质等缺陷,这会大大降低光电探测器的性能。铁电材料由于具有自发极化产生的本征内建电场,能够有效促进光生载流子的分离,同时,还可以简化器件的结构。并且铁电材料常具有高的介电常数,这有助于降低器件噪声,因此被认为是构筑高性能光探测器的理想材料。然而,传统铁电材料通常含有不同极化方向的高密度铁电畴,光生载流子在畴壁处的散射与复合会显著降低器件的响应速度等性能,这限制了铁电光探测器的综合性能提升。
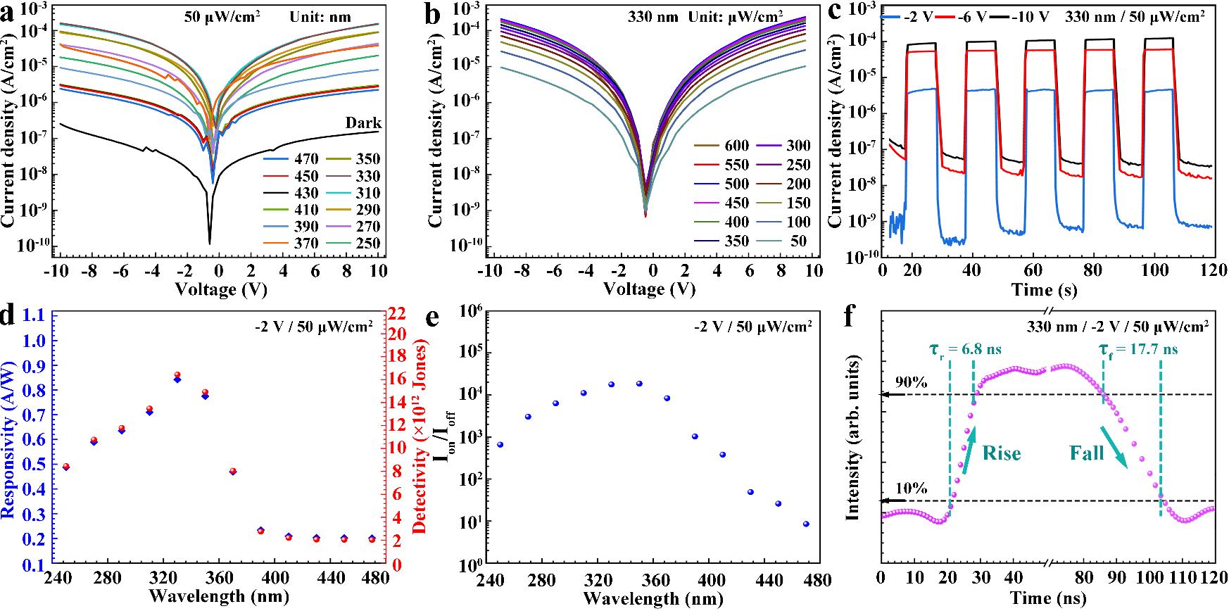
为了解决这一难题并探索高性能铁电光探测材料,耀彩网沈阳材料科学国家研究中心材料显微科学研究部的相关团队,通过固相反应法成功制备出高质量的磁铅石型SrAl11-δTiO19(SATO)铁电薄膜,利用球差校正透射电子显微术揭示了SATO的原子结构,发现SATO材料是由沿c轴交替堆叠的岩盐块和尖晶石块组成。显微结构表征表明,该薄膜中几乎观察不到铁电畴壁,表现出单畴的特征,这为实现高性能光电探测奠定了结构基础。铁电性能测量发现,SATO薄膜具有高达7.8 μC/c㎡的剩余极化和超过500小时的铁电极化保持性能,展现出优异的稳定性。光电性能测量发现,SATO探测器的响应波长为330 nm,响应度高达860 mA/W,探测率达1.63×1013Jones,开关比为1.9×104。尤为突出的是,SATO光电探测器表现出纳秒级的超快响应速度,上升时间和下降时间分别为6.8 ns和17.7 ns,比传统铁电光探测器快了近一万倍,突破传统铁电光电探测器性能瓶颈。该研究表明SATO材料在实时通信、太空探索、环境监测等领域具有重要应用前景,是下一代光电探测器的理想候选材料。
该工作得到了国家重点研发计划、国家自然科学基金、国家博士后科学基金以及广东省基础研究重大项目等多个项目的资助。相关研究结果发表在Nature Communications杂志上,题为“Ferroelectric ultraviolet photodetector material with ultrafast response speed”。论文的共同第一作者为闫学习副研究员和复旦大学严婷婷博士,通讯作者为陈春林研究员和马秀良研究员,胡卫进研究员、叶恒强院士以及复旦大学方晓生教授为本研究提供了重要支持和指导。
原文链接:https://www.nature.com/articles/s41467-025-68069-6

图1、AlN和SATO薄膜的显微结构。(a, b) AlN/STO截面样品的透射电镜明场像和选区电子衍射图。(c, d) SATO/STO截面样品的透射电镜明场像和选区电子衍射图。SATO薄膜中未观察到明显铁电畴壁,表明其具有单畴特征。标尺为200 nm。

图2、SATO薄膜三个低指数带轴的原子结构。(a-c)分别沿
、
和
带轴观察的扫描透射电镜HAADF像和(d-f) ABF像。SATO由岩盐块(R)和尖晶石块(S)沿c轴交替排列而成。标尺为1 nm。

图3、SATO薄膜原子级EDS能谱面扫。(a) SATO薄膜HAADF图像。(b-e) Sr、Al、Ti和O元素分布面扫。(f) Sr、Ti和Al元素叠加图像。Ti原子部分取代了4f1 Wyckoff位置的Al原子。标尺为5 Å。

图4、SATO薄膜的铁电性能。(a-c) PFM振幅与相位图显示了清晰的铁电翻转特性。(d)通过PUND方法测得的电滞回线,证实SATO薄膜的铁电性是本征的。SATO薄膜具有高达7.8 μC/c㎡剩余极化和优异的疲劳性能。标尺为2 μm。

图5、SATO薄膜的光电性能。(a-c)不同波长、光强和偏压的光电响应曲线。SATO薄膜对330 nm紫外光响应最强,并具有优异的弱光探测能力。(d, e)不同波长下响应度、探测率和开关比性能。SATO薄膜表现出优异的光电综合性能。(f)瞬态光响应曲线。SATO薄膜具有纳秒级超快的响应速度。